사업분야
해상풍력의 혁신, 바다엔지니어링에서 시작됩니다.
지반모델은 지질, 지구물리, 지반공학적 데이터 세트와 토양 분포, 토양 매개변수 프로필, 지질학적 위험평가와 같은 해석 데이터를 비롯한 모든 사용 가능한 현장 특성 데이터를
포함/통합한 포괄적인 보고서입니다.
GIS 호환 지반모델은 해상풍력단지개발 기간 동안 지속적으로 업데이트 되며 WTG 배치선정을 지원하고 FEED 단계에서 OWF 개발 계획뿐 아니라
기초설계, 시공/설치 단계에서 적합한 옵션을 제공하는 데 유용한 도구가 됩니다.
BADA Engineering은 Esri의 ArcMap GIS 소프트웨어를 사용하여 다양한 데이터 세트와 해석 정보를 빠르게 확인할 수 있습니다.
지반공학적, 지구물리학적 자료 비교분석은 해상풍력발전단지 전체의 지층구조, 특히 풍화된 암석층의 발생 깊이를 분석하는데 매우 중요합니다.
이는 프로젝트의 향후 단계(예: 지반조사 위치선정, 모노파일 설계, 항타 가능성 검토 등)를 계획하는데 중요합니다.
Seismic interpretation along seismic lines passing
through borehole locations
유용한 지질 단면도, 기본지반조사 및 WTG 위치에서의 지반조사 결과를 통합하여 각 터빈 위치에 대한 층후와 토질정수를 결정합니다.
해상풍력 기초 설계 목적에 적합한 일반적인 토질분석보고서 는 다음과 같은 항목들이 포함됩니다
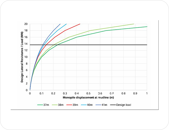
Characteristic Ground Profiles for Monopile Lateral Analysis
Cyclic Direct Simple Shear
Undrained Shear Strength vs. Net Cone Resistance
해상풍력단지를 위한 해상 기초설계는 주로 개념, FEED, 그리고 상세설계를 통해 이루어지며 지반공학, 구조공학, 그리고 유체역학 등과 같은 다양한 학문이 복합적으로 적용된다.
특히 모노파일은 말뚝의 주변마찰력으로 지지되며, 설계수명 동안 반복하중 (파도, 블레이드 등)으로 인해 인접 지반의 강도가 저하되므로 토질역학 분야에서
높은 수준의 전문성과 경험이 요구 됩니다.
Optimization based on Experience and Latest Analysis
Plot considering design low estimate soil profile
and cyclic p-y curves
Illustration of the entire process of cyclic
shear strain accumulation
Soil Resistance to Driving vs. Depth
해상풍력단지개발 동안 해상지반공학 관련 업무 범위는 WTG 기초설계를 위한 GIR, 그리고 지반설계에만 국한되지 않습니다.
모노파일 운반 및 설치 시 발생할 수 있는 가장 흔한 문제 중 하나는 두껍고 연약한 점토/실트지반에서 spudcan 의 관입/인발로 인한 설치선박과 기초주변의 세굴방지공의
안정성 문제입니다.
Displacement Vectors and Simplified Failure
Mode of Spudcan
Jackup Leg Penetration Analysis
Short Term Leg Extraction Analysis
Characteristics of the Surrounding Seabed
Behavior due to Spudcan Penetration/Extraction